arctanx的导数是什么
发布时间:2022-11-24 07:32:37
发布时间:2022-11-24 07:32:37
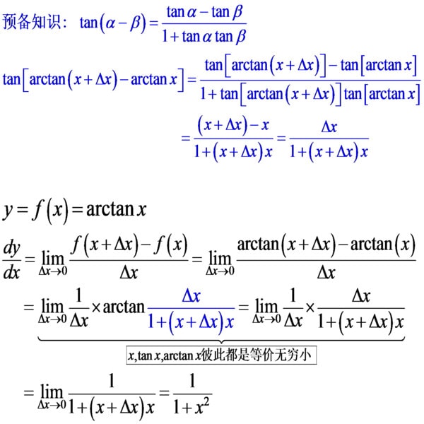
arctanx的导数:y=arctanx,x=tany,dx/dy=sec²y=tan²y+1,dy/dx=1/(dx/dy)=1/(tan²y+1)=1/(1+x²)。


(arcsinx)'=1/(1-x^2)^1/2
(arccosx)'=-1/(1-x^2)^1/2
(arctanx)'=1/(1+x^2)
(arccotx)'=-1/(1+x^2)
(arcsecx)'=1/(|x|(x^2-1)^1/2)
(arccscx)'=-1/(|x|(x^2-1)^1/2)
如果函数x=f(y)x=f(y)在区间IyIy内单调、可导且f′(y)≠0f′(y)≠0,那么它的反函数y=f−1(x)y=f−1(x)在区间Ix={x|x=f(y),y∈Iy}Ix={x|x=f(y),y∈Iy}内也可导,且
[f−1(x)]′=1f′(y)或dydx=1dxdy
[f−1(x)]′=1f′(y)或dydx=1dxdy
这个结论可以简单表达为:反函数的导数等于直接函数导数的倒数。
例:设x=siny,y∈[−π2,π2]x=siny,y∈[−π2,π2]为直接导数,则y=arcsinxy=arcsinx是它的反函数,求反函数的导数.
解:函数x=sinyx=siny在区间内单调可导,f′(y)=cosy≠0f′(y)=cosy≠0
因此,由公式得
(arcsinx)′=1(siny)′
(arcsinx)′=1(siny)′
=1cosy=11−sin2y−−−−−−−−√=11−x2−−−−−√
=1cosy=11−sin2y=11−x2
上一篇 : 0是不是有理数
下一篇 : 奇函数乘奇函数等于什么