对数函数的导数
发布时间:2022-11-24 07:36:58
发布时间:2022-11-24 07:36:58
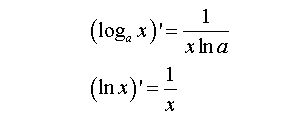
对数函数求导:(Inx)'=1/x(ln为自然对数),(logax)'=x^(-1)/lna(a>0且a不等于1)。


一般地,如果a(a>0,且a≠1)的b次幂等于N,那么数b叫做以a为底N的对数,记作logaN=b,其中a叫做对数的底数,N叫做真数。
底数则要>0且≠1真数>0
并且,在比较两个函数值时:
如果底数一样,真数越大,函数值越大。(a>1时)
如果底数一样,真数越小,函数值越大。(0<a<1时)
一般地,对数函数是以幂(真数)为自变量,指数为因变量,底数为常量的函数。
其中对数的定义:如果ax=N(a>0,且a≠1),那么数x叫做以a为底N的对数,记作x=logaN,读作以a为底N的对数,其中a叫做对数的底数,N叫做真数。
一般地,函数y=logaX(a>0,且a≠1)叫做对数函数,也就是说以幂(真数)为自变量,指数为因变量,底数为常量的函数,叫对数函数。
其中x是自变量,函数的定义域是(0,+∞),即x>0。它实际上就是指数函数的反函数,可表示为x=ay。因此指数函数里对于a的规定,同样适用于对数函数。
上一篇 : 三角形余弦定理公式及证明
下一篇 : 绝对值怎么算