三角形余弦定理公式大全
发布时间:2022-11-24 07:38:29
发布时间:2022-11-24 07:38:29
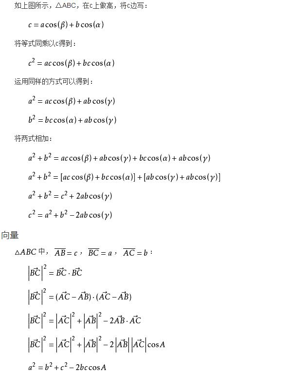
余弦定理是解三角形中的一个重要定理,可应用于以下两种需求:当已知三角形的两边及其夹角,可由余弦定理得出已知角的对边。当已知三角形的三边,可以由余弦定理得到三角形的三个内角。下面是高三网小编整理的三角形余弦定理公式大全,快收藏起来吧。

求边
余弦定理公式可变换为以下形式:




以上就是小编整理的三角形余弦定理公式大全,希望这些正弦余弦定理知识对你们有帮助的。
上一篇 : 有理数包括什么
下一篇 : 等边三角形的周长怎么求