二倍角公式
发布时间:2022-11-24 07:38:51
发布时间:2022-11-24 07:38:51
二倍角公式:tan2A=2tanA/[1-(tanA)^2];cos2a=(cosa)^2-(sina)^2=2(cosa)^2 -1=1-2(sina)^2;sin2A=2sinA*cosA。

三角函数二倍角公式
1、正弦形式
(1)公式

(2)推导过程

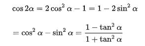
2、余弦形式
(1)公式

(2)推导过程

3、正切形式
(1)公式

(2)推导过程

上一篇 : 有理数和无理数的区别
下一篇 : 余弦定理求三角形面积公式